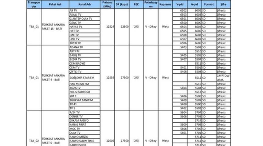
Bir süredir taşınması gündemde olan televizyon frekansları bu gece Türksat 2A uydusundan Türksat 4A uydusuna taşınacak.

Frekans taşıma işlemi sonrasında da televizyon yayınlarını sorunsuz izleyebilmek için bazı işlemler yapılması gerekebiliyor.

Yeni uydu ve TV frekansları ise şu şekilde güncellendi.















